Υπογράφηκε η πρόσθετη χρηματοδότηση των Ομοσπονδιών
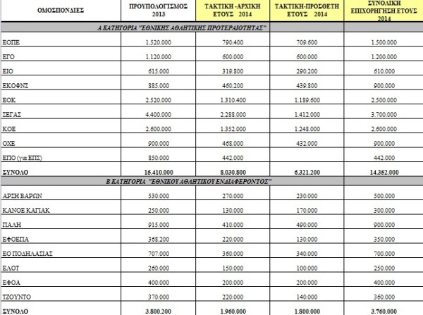
Υπογράφτηκε την Πέμπτη από τον Υπουργό Πολιτισμού και Αθλητισμού κ. Πάνο Παναγιωτόπουλο και τον Υφυπουργό κ. Γιάννη Ανδριανό η απόφαση για την πρόσθετη στήριξη του ελληνικού αθλητισμού με συνολικά 11 εκατ. ευρώ.
Το ποσό αυτό θα αποτελέσει ανάσα για τις Ομοσπονδίες που αντιμετώπιζαν πρόβλημα βιωσιμότητας μετά τις περικοπές στις επιχορηγήσεις τους.
Αναλυτικά η ανακοίνωση:
Σε συνέχεια της απόφασης που λήφθηκε στη συνάντηση που είχε με τον Πρωθυπουργό κ. Αντώνη Σαμαρά ο Υφυπουργός Πολιτισμού και Αθλητισμού για πρόσθετη στήριξη του ελληνικού αθλητισμού με συνολικά 11 εκατ. ευρώ, υπογράφηκε σήμερα από τον Υπουργό Πολιτισμού και Αθλητισμού κ. Πάνο Παναγιωτόπουλο και τον Υφυπουργό κ. Γιάννη Ανδριανό η αναλυτική κατανομή της πρόσθετης χρηματοδότησης στις Αθλητικές Ομοσπονδίες της χώρας.
Έτσι, η συνολική κρατική επιχορήγηση για τον ελληνικό αθλητισμό φέτος κινείται στα περσινά επίπεδα.


